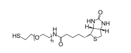
Biotin-PEG-SH,生物素-聚乙二醇-巯基,Biotin-PEG-Thiol
【的产简称称】Biotin-PEG-SH 生态学素-聚乙二醇-巯基英语名称谓:生物工程素-聚乙二醇-巯基国外英语名称大全:Biotin-PEG-SH Biotin-PEG-Thiol【產品详细情况】相对性状:体系结构多种的原子量,纯黄色/类纯黄色粉状,或胶状气体。溶液:水,氯仿,DMSO,二氯甲烷气体等长规生物碳溶液。存放要求:冷藏库另存,禁止重复冻融。分散型标准值:≤1.05原子量(PEG ):2000、3400、5000,其它的原子量就能够高端定制。为抓实成品的稳固性,请注重在常温变干未来的日子里就要张开外包装提取!



pg电子娱乐游戏app
微信公众号
官方微信