Biotin-PEG-MAL,素聚乙二醇马来酰亚胺,Biotin-PEG-Maleimide
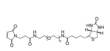
【物产品名字大全称】Biotin-PEG-MAL生物制品素聚乙二醇马来酰亚胺常常标题:生态学素聚乙二醇马来酰亚胺用英文怎么说名字大全:Biotin-PEG-Maleimide,Biotin-PEG-MAL【企业产品信息】相对性状:为不一的碳原子量,粉色/类粉色固态,或浓稠液滴。液体:水,氯仿,DMSO,二氯二氧化氮等常規设计液体。补充状况:冰箱保留,解决反复不断地冻融。消减数值:≤1.05种类:海洋海洋生物素衍海洋海洋生物使用**的将海洋海洋生物素标识在表面抗原、蛋白酶质和某些含包括胺的大碳原子。原子核量(PEG ):2000、3400、5000,许多原子核量能能制定。为为了确保厂品的稳定的性,请重视在衡温常温、干燥而后可以打开产品包装拿取!【企业产品阐明】生态学素PEG马来酰亚胺(Biotin-PEG-MAL)就就可以来用作突显血清质、多肽及其其它的活性酶类基团资料和小原子。马来酰亚胺(-MAL)马来酰亚胺和巯基在PH6.5-7.5很便捷进行相对稳明确高的硫醚键。聚乙二醇就就可以加入可溶性高,溶于水的度和相对稳明确高性,减掉多肽和血清质的免疫检测原性,它还可以克制通电的原子在突显外表的非特异形配合。渝偲医药业可能提供生态学素标出氨基、羧基、虎珀酰亚胺酯、叠氮、炔、马来酰亚胺、S-四嗪、DBCO、TCO、BCN、荧光染色剂等官能团或点选有机化学连接管标出的生态学素和烟气脱硫生态学素一系列。



pg电子娱乐游戏app
微信公众号
官方微信