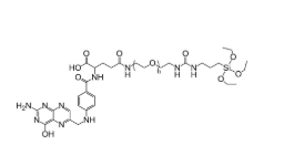
叶酸聚乙二醇硅烷,FA-PEG-Silane,Folicacid-PEG-Silane
【厂产品称呼称】英文姓各称:DHA聚乙二醇硅烷英文字母名称大全:FA-PEG-Silane因为俗称:Folicacid-PEG-Silane【货品商品详情页】物理性质:源于各不相同的团伙量,呈白/类白固态,或黏黏全自动。相转移催化剂:水,氯仿,DMSO,二氯丁烷等通常有机的相转移催化剂,互溶水。可靠性:冷藏库保护,规避重复冻融。碳原子量(PEG ):2000、3400、5000,别碳原子量需要个人定制。增溶比率:≤1.05为确认好产品的比较稳判定,温馨提示力在恒温性比较好吹干过后才会打开包装机选用!



pg电子娱乐游戏app
微信公众号
官方微信