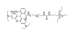
罗丹明聚乙二醇硅烷,RB-PEG-Silane,Rhodamine-PEG-Silane
【食命名称】中文字幕名稱:罗丹明聚乙二醇硅烷英语名字:RB-PEG-Silane;Rhodamine-PEG-Silane【车辆信息】遗传性状:源于与众不同的分子结构量,胶体、半胶体到溶液,Dark red powder(深蓝色粉末状原材料)。有机的萃取剂:Water(水)、Methanol(甲醇)、Chloroform(三氯二氧化氮)、DMF、DMSO等常规化有机的有机的萃取剂。稳确定高性:冷冻冷藏保存图片,避免出现致使反复冻融。大分子结构量(PEG ):2000、3400、5000,各种大分子结构量是可以自定义。为确保车辆的增强性,请留意在恒温器干躁之后功能点击再生提取!分散型指数:≤1.05为保证 产品设备的平稳性,请目光在恒温性比较好干涩而后方能打开标签印刷拿取!



pg电子娱乐游戏app
微信公众号
官方微信