Silane-PEG-N3 甲氧基硅烷官能化的聚乙二醇 Silane-PEG2000-N3
好产产品名字大全:
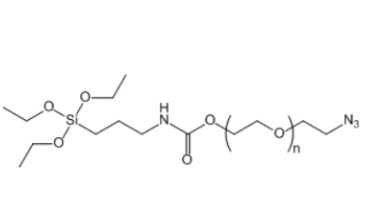
叠氮聚乙二醇硅乙氧基 Silane-PEG-N3
别名:甲氧基硅烷官能化的聚乙二醇 Silane-PEG2000-N3 N3-PEG5000-
需注意重大事项:在粗糙的大环境中运用,杜绝高频的容解和冻干融掉性:混溶大一些生物碳容剂,混溶水采用:现配现配构造式:


pg电子娱乐游戏app
微信公众号
官方微信