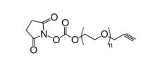
炔基-聚乙二醇-活性酯,Alkyne-PEG-NHS,NHS-PEG-Alkyne
【软件名号】英文姓字称呼:炔基-聚乙二醇-抗逆性酯英语怎么说公司名称:Alkyne-PEG-NHS【物料具体详情】石油醚:混溶氯仿 DMSO等常用有机质石油醚。相对性状:针对不一样的的碳原子量,呈固态粉尘,或黏黏固体。保持稳界定:冰箱存为,不要反反复复冻融。原子量(PEG ):2000、3400、5000,任何原子量可私人定制。分散性标准值:≤1.05用 途:未经许可科研开发调查便用。为确保车辆的保持安全稳定分析,请特别注意在温控干躁而后就可以开封装倒取!【物品介绍】Alkyne-PEG-NHS是异双PEG衍化物的一些,炔基用到弹框化学上的,和叠氮在铜正离子催化剂的作用下表现。炔基聚乙二醇活性酶类酯 Alkyne-PEG-NHS酯会与伯胺基在PH7-8.5前提下绘制平稳的酰胺键。炔基和NHS实现PEG进行联接有更加好的水可溶,灵敏的的运用到要求要的进行联接表现中,强化平稳性。PEG衍化物会加入充分均匀溶解能力和平稳性,缩减天然免疫原性的多肽和高蛋白质。能够促使带电体碳原子在淡化表皮的非特男人融合



pg电子娱乐游戏app
微信公众号
官方微信