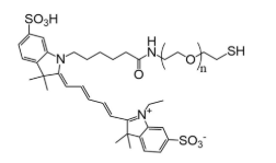
CY5-聚乙二醇-巯基,CY5-PEG-SH,Cyanine5-PEG-Thiol
【车辆名字大全】英文姓种类:CY5-聚乙二醇-巯基日文公司名称:CY5-PEG-SH英文翻译别名:Cyanine5-PEG-Thiol【护肤品祥情】相转移催化剂:混溶氯仿 DMSO等常规性生物碳相转移催化剂。相对性状:针对各种的原子核量,呈物质纳米银溶液,或稠状介质液体。维持性:冷藏库永久保存,逃避经常冻融。大大分子量(PEG ):2000、3400、5000,其它的大大分子量应该高端定制。不集中比率:≤1.05用 途:仅限于科学实验室选择。为事关成品的不稳判定性,请需要注意在恒溫空气干燥往后才可以打开微信包裝移取!



pg电子娱乐游戏app
微信公众号
官方微信