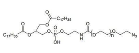
Azide-PEG-DSPE,MW:3400/5000;二硬脂酰基磷脂酰乙醇胺-聚乙二醇-叠氮
1、称谓英文版:Azide-PEG-DSPE,N3-PEG-DSPE简体中文:叠氮-聚乙二醇-磷脂2、CAS代码:N/A3、相关几大类:Azide PEG DSPE PEG4、氧分子量:可制作,Azide-PEG-DSPE 2000、叠氮-聚乙二醇-磷脂 5000、Azide-PEG-DSPE 1000、叠氮-PEG-磷脂 3400、N3-PEG-DSPE 10000、N3-PEG-DSPE 20000、5、效果把控好:95+%6、店铺: -20℃可长远保存文档,考虑遮光并放在吹干处提醒:禁止的频繁的溶解性和冻干,现取所用



pg电子娱乐游戏app
微信公众号
官方微信