DOPE-PEG2000;二油酰磷脂酰乙醇胺-聚乙二醇
474922-90-2,DOPE-PEG2000,二油酰基磷脂酰乙醇胺-聚乙二醇2000
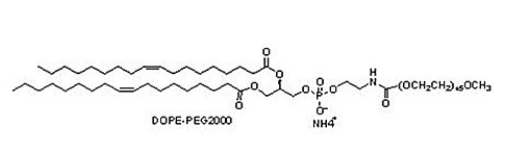
常常商品编码:二油酰基磷脂酰酒精胺-聚乙二醇2000用英语名称:1,2-dioleoyl-sn-glycero-3-phosphoethanolamine-N-[methoxy(polyethylene glycol)-2000] (ammonium salt)日文简称英文:DOPE-PEG2000产品的资讯CAS Number:474922-90-2碳原子量: 2801.465氧化学式: C133H263N2O55P外 观:类黄黑色至黄黑色液体溶解度:98%min储藏环境-20°C,密封盖,阴凉存为。


pg电子娱乐游戏app
微信公众号
官方微信