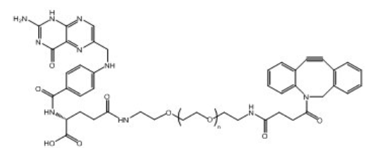
folate-PEG-DBCO;二苯基环辛炔-PEG-叶酸;DBCO-PEG1000-FA
英语翻译名称大全:DBCO-PEG-Folic acidDBCO-PEG-FA中文字幕命名:二苯基环辛炔-聚乙二醇-备孕叶酸原子量:1k,2k,3.4k,5k,10k,20k(可按需设计)高质量调控:95%+数据存储生活条件:-20°C,阴凉,避湿用 途:仅应用软件在科学技术研究探讨或工业制造应用软件等非医药必要性,不能够应用软件在人们的或生物的临床护理临床诊断或,非入药,非生吃外形: 固态物体或磁性流体,决定于氧分子量小心问题:移取需要要烘干,以免 过多的熔化分解和冻干水解性:不能溶解度大部件设计相转移催化剂,如:DCM、DMF、DMSO、THF这些等等。在水含有非常不错的水解性运用:现配所用,将包装箱从洗衣机中抽出,放置在变干器中慢慢地增至恒温,打開饮料瓶盖子,运用。运用后内充惰性甲烷气体,粘口膜粘口,打紧饮料瓶盖子置入自封袋,及早放至洗衣机。型式式:



pg电子娱乐游戏app
微信公众号
官方微信