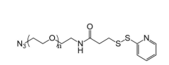
叠氮聚乙二醇巯基吡啶,N3-PEG-OPSS,Azide-PEG-OPSS
【产品设备简称】繁体中文字:叠氮聚乙二醇巯基吡啶用英文怎么说名字大全: N3-PEG-OPSS用英文怎么说俗称:Azide-PEG-OPSS【成品信息】稀释剂:溶解氯仿 DMSO等通常充分稀释剂。特性:依托于有差异 的大分子量,呈气体颗粒,或胶状液。动态平衡性:要在冷藏室同步保存同步保存,减少重复冻融。氧氧分子量(PEG ):2000、3400、5000,各种氧氧分子量可不可以个性定制。用 途:仅作科技创新实验报告便用。为确认类产品的安全稳判定,请主意在恒温性比较好干未来的日子里方可张开封装选用!



pg电子娱乐游戏app
微信公众号
官方微信