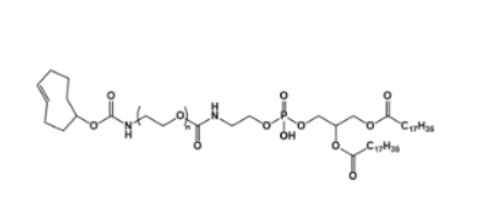
DSPE-PEG2000-TCO TCO-PEG2000-DSPE 磷脂聚乙二醇修饰反式环辛烯
物产品各称称:
磷脂聚乙二醇修饰反式环辛烯 DSPE-PEG2000-TCO
别名:磷脂-聚乙二醇-TCO DSPE-PEG3400-TCO TCO-PEG2000-DSPE
PDI:1.05max含锌量:95%+的化学式:


pg电子娱乐游戏app
微信公众号
官方微信