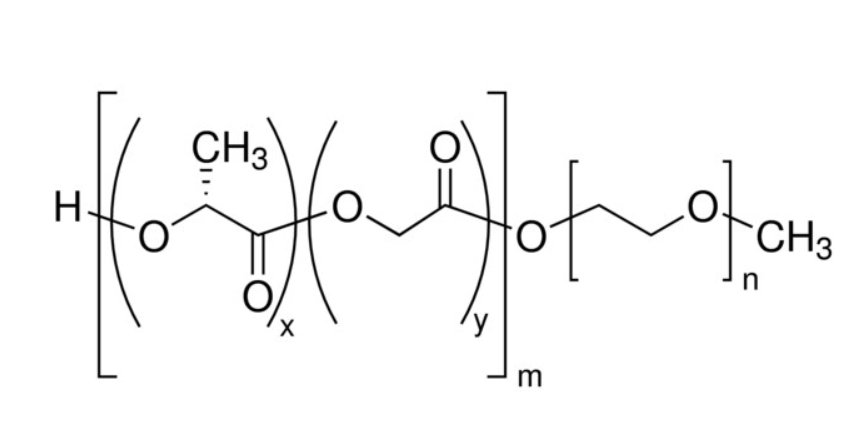
PEG-b-PLGA PEG2000-b-PLGA10K 聚乳酸-羟基乙酸共聚物-聚乙二醇
商产品明称:
PEG2000-b-PLGA10K 聚乙二醇-PLGA
别名:PEG-b-PLGA 聚乳酸-羟基乙酸共聚物-聚乙二醇 PEG-PLGA
端基被淘汰率:≥95%感觉:气体或浓稠介质液体,决定于分子式量多少手机截图日子 3年成分式:


pg电子娱乐游戏app
微信公众号
官方微信