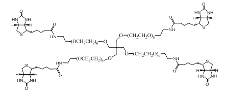
四臂PEG生物素是一种多臂PEG衍生物,四臂的每个末端都有生物素基团连接到一个季戊四醇核心。PEG生物素可通过与链霉亲和素和抗生物素结合进行聚乙二醇化,具有高亲和力和特异性。
动物素可以通过稳定性的酰胺相连接物与平滑PEG整合。

英文版明称:4-Arm PEG-Biotin,4-Arm peg-Biotin中文翻译命名:四臂-聚乙二醇-微生物素分子结构量:1k,2k,3.4k,5k,10k,20k(可按需来样加工)质操纵:95%+原辅料分散化指数公式PDI:≤1.05内存條件:-20°C,背光,避湿用 途:仅作科研管理研究便用,不需要 于医治外形: 膏状或粘力液滴,衡量于原子量特别注意常见问题:倒取千万要干燥处理,应对次数的融化和冻干融解性:溶解性大组成部分生产溶液,如:DCM、DMF、DMSO、THF等等等等。在水含有非常不错的融解性相关厂品:Biotin-PEG23-amineBiotin-PEG8-amineBiotin-PEG11-MalBiotin-PEG12-acidBiotin-PEG11-aminePC-Biotin-PEG4-PEG4-alkyne