mPEG2000-DMPE mPEG-DMPE 甲氧基PEG双肉豆蔻磷脂
服务公司名称:
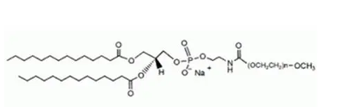
mPEG2000-DMPE 甲氧基PEG双肉豆蔻磷脂
别名:mPEG-DMPE 可用于形成隐形脂质体 DMPE-PEG
可挥发石油醚:氯仿,DMSO等位置可挥发可挥发石油醚。厂品品种:500mg/1g/5g/10g使用:使用在中医药学深入分析,用量解放,奈米技巧和新用料深入分析。的化学式:


pg电子娱乐游戏app
微信公众号
官方微信