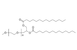
DMG-PEG-SH DMG-PEG-Thiol 二肉豆蔻酰-sn-甘油-聚乙二醇-巯基
厂产品品牌:
DMG-PEG-SH 二肉豆蔻酰-sn-甘油-聚乙二醇-巯基
别名:DMG-PEG-Thiol DMG-聚乙二醇-巯基 Thiol-PEG-DMG
相转移催化剂:氯仿,DMSO等部件设计相转移催化剂。的产品规格为:500mg/1g/5g/10g领域:中用医药学学习,抗癫痫药物发挥,纳米级新技术和新建材学习。DMG-PEG 2000组成式:


pg电子娱乐游戏app
微信公众号
官方微信