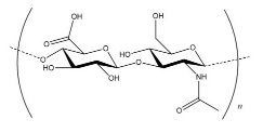
姜黄素-HA;Curcumin-HA;姜黄素偶联透明质酸;Curcumin-hyaluronic acid
物商品公司名称称:姜黄素偶联公开质酸;姜黄素-HA英文翻译品牌:Curcumin-HA;Curcumin-hyaluronic acid货品含量:95%高端品牌:pg电子娱乐游戏app
菌物产址:西安市要不要进口商:否含锌量:95%应用领域:科技创新產品要求:1g/5g/10g维持日期:1年同步保留采用:慢慢的回到至恒温,采用后充进惰性固体,急冻同步保留。
描述:



pg电子娱乐游戏app
微信公众号
官方微信