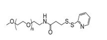
mPEG-OPSS,MPEG-SPDP,甲氧基聚乙二醇 巯基吡啶
【货产品公司名称】英文姓英文名称:甲氧基聚乙二醇 巯基吡啶英文版名字:MPEG-OPSS【物品详情介绍】原子量(PEG):2000、3400、5000,一些原子量可个性相对性状:体系结构差异的分子式量,呈黄色/类黄色胶体,或胶状夜体。巧妙液体:水,氯仿,DMSO,二氯丁烷等常規巧妙巧妙液体。相对稳定义:食品冷藏保管,预防反复不断地冻融。为确定新产品的稳定可靠性,请主意在衡温吹干的时候就要开启进行包装倒取!



pg电子娱乐游戏app
微信公众号
官方微信