产品名称:COOH-PEG5000-PLGA;COOH-PEG-PLGA
别名:PLGA-PEG-COOH 聚乳酸-羟基乙酸共聚物聚乙二醇羧基 PLGA-PEG3400-COOH
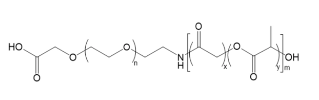
构造式:

好产品解释:聚乙二醇也是种最高分子材料式缔合物,检查是否式是HO(CH2CH2O)nH,无滴对皮肤的刺激性性,存在保持优秀的水可溶,并与很多可挥发物混合物有保持优秀的相可溶。存在发芽势的润滑油性、补水性、离心分离性、粘合性,用做为防静电能剂及湿润剂等在使用。外光:消费黏性透明液体或液体纳米银溶液,在于于碳原子量氧分子量(PEG):不同雇主消费需求个性定制目光须知:在低温干燥的生活环境中移取,尽量避免经常的溶化和冻干礼品盒:单瓶工厂:兰州pg电子娱乐游戏app
生物工程高新科技有现工厂产生具体位置:成都温磬的提示:仅支持于科技创新广州pg电子娱乐游戏app
生态学科技发展现有子公司出售全屋私人定制提炼磷脂、PEG磷脂、两亲嵌段共聚物,磁块微米技术技术颗粒剂,微米技术技术金,荧光量子点及树根状混物反应物、PEG产生态学等情况软件.可供规范磷脂缩聚反应、PEG磷脂,增韧磷脂,荧光箭头磷脂、混物反应物磷脂、磷脂偶连高碳原子微米技术技术物料及微球类物料、单分布小碳原子PEG磷脂偶连软件,还可基于业主要求全屋私人定制提炼比较复杂及特俗的混物反应物磷脂软件。涉及到类产品最新推荐:FITC-PEG2000-DSPEligand-PEG5000-DSPEPLLA-PEG5000磷脂-聚乙二醇-荧光素BSA-PEG3400-DSPE