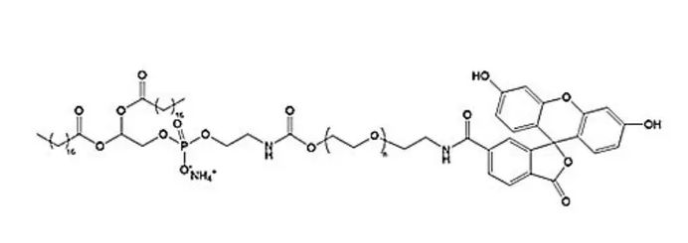
产品名称:FITC-PEG-DSPE;磷脂PEG共轭物
别名:FITC-PEG2000-DSPE 磷脂-聚乙二醇-荧光素 DSPE-PEG5000-FITC
机构式:

PEG诞生物的分享:PEG发展物有众多那个种类,举个例子:支链PEG发展物,即Y-型PEG发展物;直链单官能团PEG发展物;同官能团双代替PEG发展物;多臂PEG发展物。油漆颜色:黏性液滴或液态粉化,决定于于原子核量碳原子量(PEG):按照消费者供给个性定制重视小常识:在干燥的的区域中采用,尽量不要平繁的溶水和冻干木箱:瓶裝企业:陕西pg电子娱乐游戏app
生物工程科技发展非常有限责任公司的生产地址查询:深圳和谐温馨显示系统:仅应适宜研发陕西pg电子娱乐游戏app
动物信息技术非常有限集团公司出售定做获得磷脂、PEG磷脂、两亲嵌段共聚物,永久磁铁納米小粒,納米金,荧光量子点及枯树枝状高分子化合物物、PEG衍动物等方面物品。相关的成品强烈推荐:DMG-PEG-MAL MW:5KMAL-PEG-DMG MW:2000NHS-PEG3400-SS-PLGAFITC-PEG2000-DMPE磷脂-聚乙二醇-三氮杂环配体Mannose-PEG2000-DSPEPCL-PEG2000-AmineBiotin-PEG2K-DSPE