产品名称:DSPE-PEG3400-RB;磷脂标记罗丹明B
别名:DSPE-PEG5000-RB Rhodamine B-PEG-DSPE 罗丹明B-聚乙二醇-磷脂
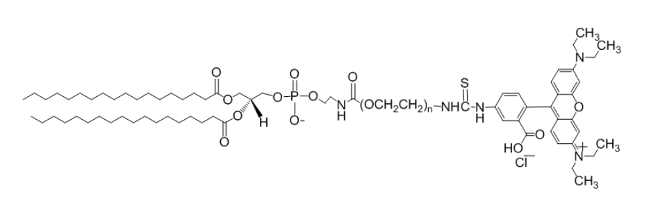
结构的式:

PEG衍化物的说明:PEG延伸物不能溶解水、酒精和一些多种无机相转移催化剂。 气体压得很低,对热、酸、碱增强。 与一些物理危险化学品不了效用。 有良好的的吸潮性、润滑油的作用性、黏接性。 无气味,无敏感。饱和度:≥95%倒取:现配使用动态:在PEG原子量的不一样,突显的成品动态大多是液或黏黏状气体贮存先决条件:-20°冷冻熟食另存,惰性汽体保证原子核量: 350、550、750、1000、2000、3400、5000、10000熔化分解性:易溶于大部份生产稀释剂,如:DCM、DMF、DMSO、THF……。在水有比较好的降解性木箱:瓶裝设备厂家:陕西pg电子娱乐游戏app
菌物网络有局限机构工作具体地址:郑州暖心表示:仅可用来科研项目绵阳pg电子娱乐游戏app
菌物自动化有限制的大公司生产商设计转化成磷脂、PEG磷脂、两亲嵌段共聚物,剩磁納米级粒子,納米级金,荧光量子点及树皮状汇聚物、PEG衍菌物性功能下降品牌。涉及到的护肤品推见:4-arm-PEG-DOPE MW:10008-arm-PEG3.4K-DOPE8-arm-PEG-DOPE MW:10KPentaglycine-PEG3400-DSPEPLGA-mPEG2000DSPE-PEG MW:3400