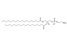
DSPE;二硬脂酰磷脂酰乙醇胺;CAS:1069-79-0的结构式
常用名 1,2二硬酯酸-3磷脂酰乙醇胺
英文名 1,2-Distearoyl-sn-glycero-3-phosphoethanolamine
CAS号 1069-79-0
分子量 748.065
密度 0.996
沸点 760.2±70.0 °C at 760 mmHg
分子式 C41H82NO8P
熔点 172-173ºC
闪点 413.5±35.7 °C

质量 747.577820
PSA 144.19000
LogP 15.83
外观性状 固体;White to Almost white powder to crystal
蒸汽压 0.0±5.5 mmHg at 25°C
折射率 1.473
储存条件
-20°C 封闭儲存稳定性
恒温自然压下保持稳定,防范氧化反应物 光使用关联厂品:CY3-亲和素MAL-PEG1000-NH2PBA-PEG600-PBADSP CrosslinkerOleic acid modified Fe3O4 nano(10nm),5mg/mlCY5.5的cy3-PEG-Biotin MW:2000DSPE-PEG2K-RVG29Cyanine7 NHS esterDSPE-PEG2K罗丹明箭头人转铁蛋清mPEG-TK-PLGA MW:PEG 2000,PLGA 5000FD-1080

pg电子娱乐游戏app
微信公众号
官方微信