CAS:57757-57-0;DSP双功能交联剂;DSP Crosslinker
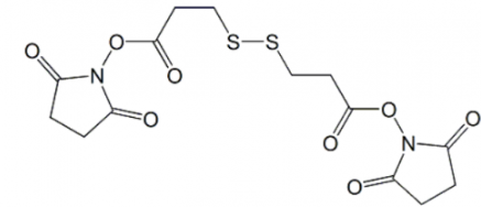
二硫代双(丙酸琥铂酰亚胺酯)(DSP)是一个种同双作用交连剂,可浸入癌细胞质。 DSP在可裂解的8电子层(12.0埃)距离臂的两端还具有胺化学反应性N-羟基蜜腊酰亚胺(NHS)酯。 DSP的时间间隔臂中构成其中一个可展现的二硫键,是各个技术应用的首选。服务名称大全 DSP Crosslinker汉语称呼 3,3'-二硫代二丙酸 二(N-羟基丁二酰亚胺酯)因为明称 DSP Crosslinker氧分子量 404.42CAS 57757-57-0团伙式 C14H16N2O8S2内存因素 -20°闭光存有时候 几年物理性质 咖啡豆



pg电子娱乐游戏app
微信公众号
官方微信