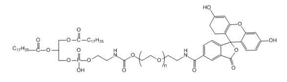
DSPE-PEG-FITC DSPE-PEG2000-FITC 磷脂-聚乙二醇-荧光素
产品名称:DSPE-PEG-FITC,MW:2000 磷脂-聚乙二醇-荧光素
英文名称:DSPE-PEG-FITC DSPE-PEG2000-FITC DSPE-PEG3400-FITC
别名:荧光素-聚乙二醇-磷脂
效率:95%+贮藏措施:-5°C下例存放,低温干燥,闭光减少常数:少于相等于1.05的化学式:
产品名称:DSPE-PEG-FITC,MW:2000 磷脂-聚乙二醇-荧光素
英文名称:DSPE-PEG-FITC DSPE-PEG2000-FITC DSPE-PEG3400-FITC
别名:荧光素-聚乙二醇-磷脂
效率:95%+贮藏措施:-5°C下例存放,低温干燥,闭光减少常数:少于相等于1.05的化学式:
