DSPE-TK-PEG-TPP TPP-PEG2000-TK-DSPE 磷脂-酮缩硫醇-聚乙二醇-磷酸三苯基酯
产品名称:DSPE-TK-PEG-TPP 磷脂-酮缩硫醇-聚乙二醇-磷酸三苯基酯
英文名称:TPP-PEG2000-TK-DSPE DSPE-TK-PEG2000-TPP DSPE-TK-PEG2K-TPP
别名:高分子PEG
的品质:95%+手机截图方案:-5°C之下手机截图,烘干,闭光分散型因子:值为相等于1.05DSPE-PEG-TPP结构式:

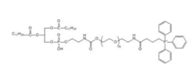
产品名称:DSPE-TK-PEG-TPP 磷脂-酮缩硫醇-聚乙二醇-磷酸三苯基酯
英文名称:TPP-PEG2000-TK-DSPE DSPE-TK-PEG2000-TPP DSPE-TK-PEG2K-TPP
别名:高分子PEG
的品质:95%+手机截图方案:-5°C之下手机截图,烘干,闭光分散型因子:值为相等于1.05DSPE-PEG-TPP结构式:

