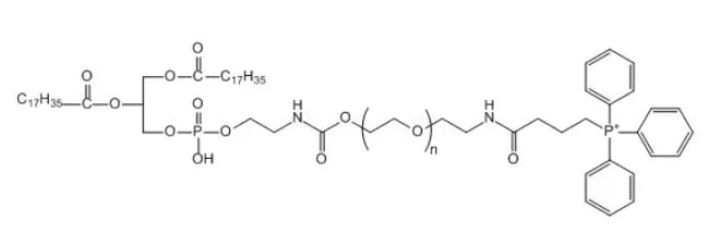
DSPE-PEG-TPP TPP-PEG3400-DSPE 磷脂-聚乙二醇-磷酸三苯基酯
产品名称:DSPE-PEG2K-TPP 磷脂-聚乙二醇-磷酸三苯基酯
英文名称:TPP-PEG3400-DSPE DSPE-PEG-TPP DSPE-PEG2000-TPP
别名:脂质PEG试剂
高质量:95%+储放手段:-5°C以上保存图片,干涩,闭光分散式标准值:小于等同于等同于1.05组成部分式:
产品名称:DSPE-PEG2K-TPP 磷脂-聚乙二醇-磷酸三苯基酯
英文名称:TPP-PEG3400-DSPE DSPE-PEG-TPP DSPE-PEG2000-TPP
别名:脂质PEG试剂
高质量:95%+储放手段:-5°C以上保存图片,干涩,闭光分散式标准值:小于等同于等同于1.05组成部分式:
