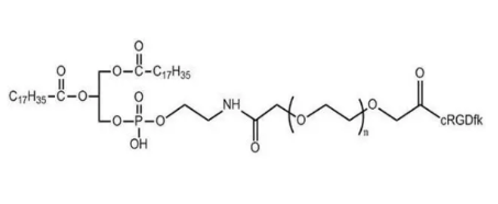
DSPE-PEG2000-cRGD 磷脂-聚乙二醇-环肽RGD 磷脂PEG衍生物
靶向药物剂量疗法疗法穿膜肽RGD环肽,,特女性朋友区分构建素αvβ3,磷脂-聚乙二醇-cRGD中的cRGD是五元环肽,可以于胶束、囊泡的唯一被动靶向药物剂量疗法疗法,相互靶向药物剂量疗法疗法学习和在药物剂量输送带。DSPE(1,2-二硬脂酰-sn-甘油-3-磷酸甲醇胺)不是种达到饱和状态的18碳磷脂,最常用于脂质体的自动合成。聚乙二醇(PEG)偶联DSPE兼备亲水溶性,该用于药物剂量传接、人类基因转染和生物体碳原子绘制。磷脂的聚乙二醇化解决了治疗药物的血液反复系统反复时刻和安全稳界定



pg电子娱乐游戏app
微信公众号
官方微信