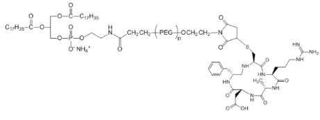
DSPE-PEG2K-cRGDfk;磷脂-聚乙二醇-crgd细胞穿膜肽
DSPE-PEG2000-cRGDfkcRGD环肽货品非常多包扩有c(RGDfK), c(RGDfC), c(RGDyK), c(RGDyC)等,然而 相比通常用且靶向药物性有效的有c(RGDfK)和c(RGDfC)许多种,我公司的的DSPE-PEG-cRGD的产品,PEG原子量还可以选择550,750,1000,2000,3400,5000 Da,然而 相比长规的依然是PEG原子量2000的的产品缩写英文:DSPE-PEG2000-cRGD企业产品简称:1,2-dipalmitoyl-sn-glycero-3-phosphoethanolamine-N-(polyethyleneglycol)-c(RGDfC) (sodium salt)用英文怎么说名:DSPE-PEG2000-cRGD, 多肽编码序列:c(RGDyk)外貌:暗红色粉末状大分子量:2000效率把握:90%+会自动储存:-20°的化学式:

相关产品:
磷脂功能化修饰聚乙二醇衍生物5000
甲氧基聚乙二醇巯基2000
DSPE-PEG2K-FITC
DSPE-PEG-RVG29 狂犬病毒靶向肽
磷脂-聚乙二醇-crgd细胞穿膜肽
聚己内酯-腙键-聚乙二醇-氨基
FITC-dextran4000
二硬脂酰基磷脂酰乙醇胺-聚乙二醇2000
DSPE-PEG2000-CY5.5
DSPE-PEG2000-CY3
cas:1639843-65-4
mPEG2k-PCL2k


pg电子娱乐游戏app
微信公众号
官方微信