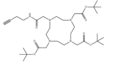
Butyne-DOTA-tris(t-butylester)丁炔基-DOTA-三叔丁酯,2125661-54-1
中文字幕种类Butyne-DOTA-tris(t-butylester)2英文同义词丁炔基-DOTA-三叔丁酯;丁炔-DOTA-三(叔丁基酯);DOTA-三叔丁酯-炔;2,2',2''-(10-(2-(丁-3-炔-1-基氨基)-2-氧代已基)-1,4,7,10-四氮杂环第十二烷-1,4,7-三基)三乙酸三叔丁酯国外英文英文名字称Butyne-DOTA-tris(t-butylester)用英语同义词Butyne-DOTA-tris(t-butylester);DOTA-(COOt-Bu)3-butyne;Tri-tert-butyl2,2',2''-(10-(2-(but-3-yn-1-ylamino)-2-oxoethyl)-1,4,7,10-tetraazacyclododecane-1,4,7-triyl)triacetateCAS号2125661-54-1氧分子结构C32H57N5O7氧分子量623.82



pg电子娱乐游戏app
微信公众号
官方微信