产品名称:4-arm-PEG-DOPE MW:2000;四臂-聚乙二醇20000-二油酰基磷脂酰乙醇胺
别名:4-arm-PEG-DOPE MW:20000 4-arm-PEG-DOPE MW:3400
情形:随着PEG原子量的各不相同,显现的物品情形居多液状体或黏稠状固态物分子式量: 350、550、750、1000、2000、3400、5000、10000熔化分解性:不溶大部份有机的高沸点溶剂,如:DCM、DMF、DMSO、THF等。在水含有很不错的溶解出来性
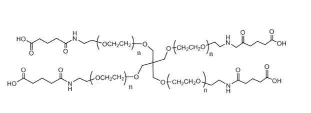
4-arm peg-gaa结构式:

品牌简洁:PEG修饰语剂渐渐平均水平氧原子核量的不同于,成分亦有差距。从晶块无臭黏稠透明液体至蜡状粉末状。渐渐氧原子核量的增加,其吸汗程度此类调低。 设计:瓶裝产家:渭南pg电子娱乐游戏app
微生物科枝有限制的我司制作网址:成都温磬显示:仅可采用于教育科研咸阳pg电子娱乐游戏app
怪物科技创新有现司是中国的最高氧分子汇聚反应物人工厂,我司应该提拱有所不同有所不同的汇聚反应物的嵌段共聚,有均聚物,嵌段共聚物,星形汇聚反应物等,汇聚反应物包含有PEG、PLGA、PLA、PCL、PS、PLL,PtBA,PMMA,PAA,P4VP,P2VP,PNIPAAm,聚赖氨酸、聚谷氨酸、聚天冬氨酸、PEI、相应其他的基团或者是多肽汇聚反应物,总类多,可提拱定制网站服務。对应服务推介:4-arm-PEG2000-DOPE4-arm-PEG20K-DOPE8-arm-PEG-DOPE8-arm-PEG-DOPE MW:20000DSPE-PEG-Pentaglycine