GA-mPEG;mPEG2000-GA GA-mPEG2000 GA-mPEG3400
产品名称:GA-mPEG;mPEG2000-GA
别名:GA-mPEG2000 GA-mPEG3400
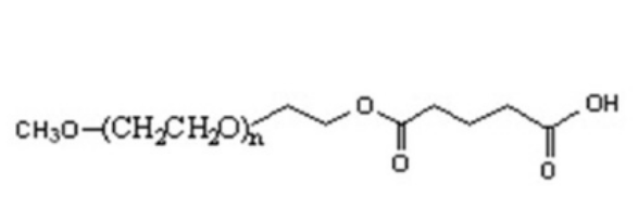
情况:可能PEG大分子量的多种,呈现出的厂品情况大部分是液滴或浓稠状固状氧分子量: 350、550、750、1000、2000、3400、5000、10000溶解出来性:易溶于大方面生物碳萃取剂,如:DCM、DMF、DMSO、THF等等这些。在水中含良好的溶化性空间化学式:
产品名称:GA-mPEG;mPEG2000-GA
别名:GA-mPEG2000 GA-mPEG3400
情况:可能PEG大分子量的多种,呈现出的厂品情况大部分是液滴或浓稠状固状氧分子量: 350、550、750、1000、2000、3400、5000、10000溶解出来性:易溶于大方面生物碳萃取剂,如:DCM、DMF、DMSO、THF等等这些。在水中含良好的溶化性空间化学式:
