DSPE-PEG2000-TCO;磷脂-聚乙二醇-反式环辛烯 DSPE-PEG-TCO
产品名称:DSPE-PEG2000-TCO;磷脂-聚乙二醇-反式环辛烯
别名:DSPE-PEG-TCO DSPE-PEG3400-TCO
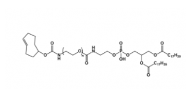
含量:≥95%取出:现配使用存储空间情况:-20°冷冻冰箱保管,惰性空气确保节构式:
产品名称:DSPE-PEG2000-TCO;磷脂-聚乙二醇-反式环辛烯
别名:DSPE-PEG-TCO DSPE-PEG3400-TCO
含量:≥95%取出:现配使用存储空间情况:-20°冷冻冰箱保管,惰性空气确保节构式:
