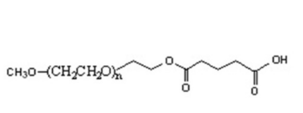
mPEG2000-GA甘草次酸;mPEG-GA 甲氧基-聚乙二醇-戊二酸 PEG衍生物
厂产品名号称:mPEG2000-GA甘草次酸;mPEG-GA纯净度:≥95%拿取:现配所用存放条件:-20°制冷存储,惰性固体保护英文形态:可能PEG大分子量的不同于,呈现出来的好产品形态大部分是固态或黏稠状气体



pg电子娱乐游戏app
微信公众号
官方微信