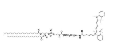
DSPE-PEG-Cy3,Cyanine3-PEG2000-DSPE, 磷脂-聚乙二醇-花青素Cyanine3
品牌明称: 磷脂-聚乙二醇-花青素Cyanine3 日文名称大全:DSPE-PEG-Cy3,Cyanine3-PEG-DSPE分子结构量:1k,2k,3.4k,5k,10k,20k(可按需订制)质量水平控制:95%+辅料散落公式PDI:≤1.05储备必要条件:-20°C,闭光,避湿用 途:未经许可成果转化实践施用,不带于医治外表: 膏状或黏性液态体,决定于于分子结构量关注相关事宜:拿取一些要干涩,应对次数的溶解性和冻干融化性:降解大很多巧妙相转移催化剂,如:DCM、DMF、DMSO、THF之类。在水中含特别好的融化性



pg电子娱乐游戏app
微信公众号
官方微信