DSPE-PEG2K-FITC;FITC-PEG2000-DSPE;荧光素-聚乙二醇-磷脂
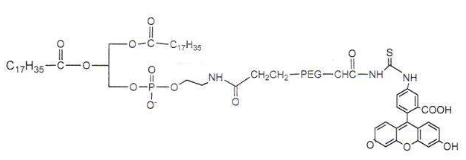
英语怎么说称谓:DSPE-PEG-FITC汉语称谓:磷脂-聚乙二醇-荧光素分子式量:1k,2k,3.4k,5k,10k,20k(可按需个人定制)的质量管控:95%+保存环境:-20°C,背光,避湿外在:红色/黑色粉化或黏力介质决定于于分子式量溶解度性:Water(水)、Methanol(甲醇)、Chloroform(三氯丁烷)、DMF、DMSO。构成式:

1,2-二硬脂酰基-sn-甘油-3-磷酸无水乙醇胺(DSPE)共轭和荧光素标识的聚乙二醇(DSPE-PEG-FITC),DSPE PEG荧光素是兼备亲丙烯酸乳液聚氨酯和疏丙烯酸乳液聚氨酯的磷脂PEG共轭物。
聚乙二醇化的磷脂是**的脂质形体成原材料,也可以使用于制剂输料,染色体转染和狂犬疫苗输料。
磷脂的聚乙二醇化显著缓和了芯片封装制剂治疗的血样循环往复时长和增强性,某些相关材料还可利用用靶向治疗治疗配体(如抗原,肽)遮盖其表面上来用做靶向治疗治疗制剂治疗递送。
荧光素标志的DSPE PEG成品发来绿化荧光,能依据传统荧光仪器设备高效在线检测到。
涉及企业产品:DSPE-PEG-COOH 磷脂聚乙二醇羧基DSPE-PEG-MAL 磷脂聚乙二醇马来酰亚胺DSPE-PEG-NHS 磷脂聚乙二醇蜜腊酰亚胺酯DSPE-PEG-SH 磷脂聚乙二醇巯基DSPE-PEG-Biotin 磷脂聚乙二醇生物制品素DSPE-PEG-FA 磷脂聚乙二醇备孕叶酸DSPE-MPEG 磷脂甲氧基聚乙二醇DSPE-PEG-OH 磷脂聚乙二醇羟基DSPE-PEG-FITC 磷脂聚乙二醇荧光素

pg电子娱乐游戏app
微信公众号
官方微信