FA-PEG2k-DSPE 磷脂-聚乙二醇2000-叶酸 磷脂PEG叶酸
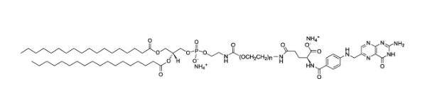
【货商品编码称】 DSPE-PEG-FA、二硬脂酰基磷脂酰乙酸乙酯胺-聚乙二醇-备孕备孕叶酸、磷脂-PEG-备孕备孕叶酸日语名字大全:Folic acid PEG DSPE【新产品彩盒】100mg、500mg(可不同要定做規格)【厂品商品详情页】高沸点高沸点溶剂:氯仿、二氯二氧化氮等常规化有机酸高沸点高沸点溶剂外表:淡黄或黄碎末分子结构式量(PEG ):2000、3400、5000,另一分子结构式量也可以个性。为抓好食品的不稳性,请还要注意在恒温恒湿吹干过后才可打开浏览器礼品盒提取!【的产品就说明】磷脂-聚乙二醇-备孕DHA片(DSPE-PEG-FA),羧基与氨基形成酰胺键,一个响应可使得备孕DHA片配体粘着在蛋白质含量质、外面抗原、肽或科粒外面。聚乙二醇化备孕DHA片具有着很不错的水可溶性和生态学催化活性,备孕DHA片性能化底物已被采用靶向疗法给药、三维成像和生态学分析的開發。DSPE(1,2-二硬脂酰-sn-甘油-3-磷酸无水乙醇胺)也是种过剩的18碳磷脂,使用于脂质体的获得。聚乙二醇(PEG)偶联DSPE具有着亲水性聚氨酯,该用于中成药产生、人类基因转染和菌物原子核体现。空间化学结构式



pg电子娱乐游戏app
微信公众号
官方微信