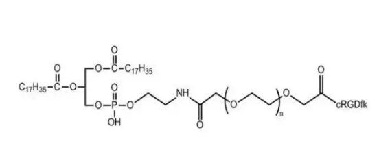
DSPE(1,2-二硬脂酰-sn-甘油-3-磷酸乙酸乙酯胺)都是种达到饱和状态的18碳磷脂,实用于脂质体的分解。聚乙二醇(PEG)偶联DSPE兼有亲丙烯酸乳液。聚乙二醇能提升溶解度性和保持稳明确,削减导电氧分子外表面非特喜欢的人紧密联系,削减多肽的抗体原性。组成部分式

用英语:DSPE-PEG-cRGDcRGD-PEG-DSPE中文版:磷脂-聚乙二醇-靶向疗法穿膜肽cRGD二硬脂酰基磷脂酰甲醇胺-聚乙二醇-靶向治疗穿膜肽cRGD团伙量:1k,2k,3.4k,5k,10k,20k(可按需定制网站)质保持:95%+主料分散型指数公式PDI:≤1.05数据存储状况:-20°C,遮光,避湿用 途:仅限于科研管理检测实用,不同于诊断外觀: 透明液体或黏力透明液体,关键在于于原子量小心事宜:倒取一些 要粗糙,避免出现经常的溶解度和冻干水解性:易溶大位置有机物容剂,如:DCM、DMF、DMSO、THF等。在水含有较好的水解性相关的设备:DSPE-PEG-Transferrin MW:5000 磷脂-聚乙二醇-转铁淀粉酶DSPE-PEG-Cholesterol MW:20000 磷脂-聚乙二醇-低密度胆固醇DSPE-PEG-DBCO MW:2000 磷脂-聚乙二醇-二苯基环辛炔DSPE-PEG-HSA MW:3400 磷脂-聚乙二醇-人血纯洁血清*DSPE-PEG-PEI MW:5000 磷脂-聚乙二醇-聚氯乙烯亚胺DSPE-PEG-Silane MW:10000 磷脂-聚乙二醇-硅烷DSPE-PEG-Mannose MW:20000 磷脂-聚乙二醇-杨枝糖