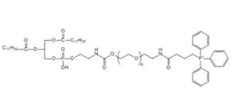
DSPE-PEG-TPP;二硬脂酰基磷脂酰乙醇胺-聚乙二醇-磷酸三苯酯
繁体中文称谓: 二硬脂酰基磷脂酰工业乙醇胺-聚乙二醇-磷酸三苯酯;三苯基磷聚乙二醇磷脂缩略词: DSPE-PEG-TPP,TPP-PEG-DSPE纯净度: 95%+团伙量: 能够 依据顾客都要环保定制家具的不同PEG团伙量溶解完度: 不溶要素无机相转移催化剂维持水平: -20℃保鲜冷库烘干保保持时刻: 每年磷酸三苯酯(防潮剂TPP)是种含磷金属元素的单质,能用作无卤绿色环保型型防潮剂,适用水解于巧妙高沸点溶剂。大部分代替项目特种工程塑料件及酚醛硅胶粘合剂积层板的耐燃抗氧剂;用TPP突显的聚乙二醇磷脂可应用软件于医药学理论论述,制剂发挥,奈米技术工艺和新建筑材料理论论述,血细胞培育。 、配体理论论述,多肽人工适配,接枝抓氧分子化



pg电子娱乐游戏app
微信公众号
官方微信