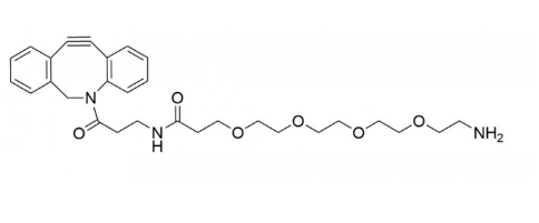
DBCO-PEG(4)-NH2 CAS:1255942-08-5 氮杂二苯并环辛炔-四聚乙二醇-氨基
英文字母标题:DBCO-PEG4-amineDBCO-PEG4-NH2中文字幕标题:氮杂二苯并环辛炔-PEG4 胺氮杂二苯并环辛炔-四聚乙二醇-氨基CAS No: 1255942-08-5氧化学式:C29H37N3O6团伙量:523.6框架式:



pg电子娱乐游戏app
微信公众号
官方微信