mPEG-DSPE 147867-65-0 甲氧基聚乙二醇-1,2-二硬酯酰-SN-甘油-3-磷酰乙醇胺
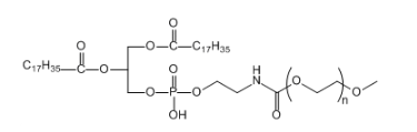
设备讯息:英语名英文名称:甲氧基聚乙二醇-1,2-二硬酯酰-SN-甘油-3-磷酰工业乙醇胺英文音标各称:mPEG-DSPECAS No.:147867-65-0产品的饱和度:≥95%大分子式量:我们公司能提供正规的大分子式量,也可不可以表明的客户使用需求确定私人订制永久手机截图玩法:-5°C一些手机截图,空气干燥,背光永久保存期限 3年构造式:



pg电子娱乐游戏app
微信公众号
官方微信