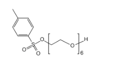
OH-PEG6-Tos 42749-28-0 六乙二醇单对甲苯磺酸酯 PEG修饰剂
產品资料:中文字幕名号:六乙二醇单对甲苯磺酸酯英语简称:OH-PEG6-TosCAS No.:42749-28-0产品:95%+放置方试:-5°C下面的存有,潮湿,遮光不集中常数:值为等同于1.05结构的式:



pg电子娱乐游戏app
微信公众号
官方微信