DOPC CAS号为4235-95-4 二油酰基磷脂酰胆碱
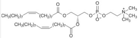
DOPC CAS号为4235-95-4 二油酰基磷脂酰胆碱DOPC,外形为紫色至淡黄白色粘结性液体,无臭的的一款人工磷脂,CAS号为4235-95-4,2英文名称做二油酰基磷脂酰胆碱,的含量≥99.0%,宝鸡pg电子娱乐游戏app
海洋生物为我们生产商的DOPC护肤品为药用价值磷脂护肤品,故食品全叫做二油酰基磷脂酰胆碱。化学物质明称:1,2-二油酰基-sn-甘油-3-磷脂酰胆碱,英语翻译命名则是:1,2-dioleoyl-sn-glycero-3-phosphocholine, Dioleoyl Phosphatidylcholine (for Injection)。脂肪的酸色度≥99.0%,可混溶氯仿、甲醇和无水乙醇,可混溶乙酸乙酯,微混溶异丙醇。



pg电子娱乐游戏app
微信公众号
官方微信