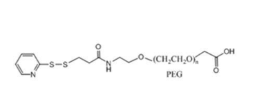
OPSS-PEG2000-COOH/Acid;巯基吡啶-聚乙二醇-羧基COOH-PEG2k-OPSS
英文翻译名字:OPSS-PEG-COOHOPSS-PEG-Acid2英文名稱:巯基吡啶-聚乙二醇-羧基分子式量:1k,2k,3.4k,5k,10k,20k(可按需个性定制)質量控制:95%+保存必备条件:-20°C,闭光,避湿用 途:仅限于科学研究科学试验操作,不使用于诊断外 观:黏稠固态可能液态粉末状原材料,决定于于原子量特别留意安全措施:移取一定的要晾干,以防过多的溶于和冻干降解性:易溶于大局部有机酸稀释剂,如:DCM、DMF、DMSO、THF特点。在水有非常好的降解性框架式:



pg电子娱乐游戏app
微信公众号
官方微信