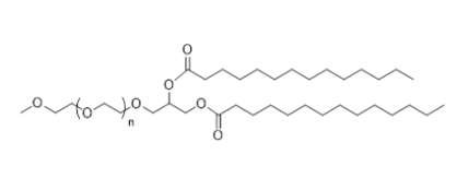
DMG-PEG2000阳离子脂质;二肉豆蔻酰甘油-聚乙二醇;DMG-PEG磷脂-聚乙二醇
DMG-PEG 2000 使用分离纯化 siRNA 脂质体,加快离体转染高吸收率。 DMG-PEG 2000 还使用脂质纳米技术技术顆粒,使用体内的服食质粒 DNA 递送方法步骤,顺利通过简略的表明修饰语来加快纳米技术技术顆粒的粘液融入性和递送高吸收率。车辆英文名称 mPEG-DMG 160743-62-4中文版名称大全 甲氧基 PEG 二肉白芷酰基-外消旋-甘油英语怎么说明称 mPEG-DMG分子式量 2000CAS 160743-62-4贮存水平 -20°皮肤干燥闭光任何团伙量 PEG任何团伙量询问微信客服

相关产品:


pg电子娱乐游戏app
微信公众号
官方微信