聚甲基丙烯酸甲酯-叠氮基|PMMA-N3 | PMMA-BzN3
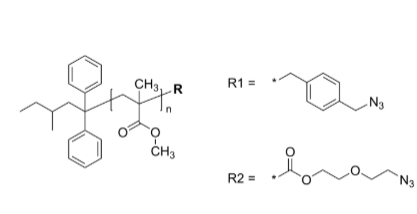
中文版称谓:聚甲基丙烯酸酯甲酯-叠氮基英文翻译代称:PMMA-N3 | PMMA-BzN3国外英文简称:Poly(methyl methacrylate), ω-azide-terminated (by anionic)CAS号:n/a; PMMA: 9011-14-7大分子结构:C18H21[C5H8O2]nN3主链格局:直链均聚物常见基本成分:PMMA亲疏丙烯酸乳液:疏水新产类目型:端基功能模块化表达得原子核荧光/夜光:无的外觀/底部形态:固定粉化或颗粒状(以现实情况的外觀是以)纯净度:≤ 100%设计式:



pg电子娱乐游戏app
微信公众号
官方微信