PF-TD2PO1会亮村料
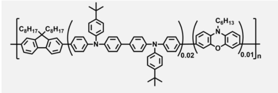
PF-TD2PO1组成式如下图所示:

The copolymer PF-TD2PO1 which contains 1 mol% PO unit shows a maximum luminous efficiency (LE max) of 3.07 cd A −1 and 5.18 cd A −1 based on single-layer and double-layer devices, respectively, with deep-blue Commission Internationale de L’E’clairage (CIE) coordinates of (0.15, 0.11).

论文:
A series of deep-blue light-emitting copolymers with an emission peak at 455 nm and narrow full width at half-maximum (FWHM) of about 40 nm were synthesized by incorporating a small amount of 10-(4-hexylphenyl)-10H-phenoxazine (PO) unit into the backbone of poly(9,9-dioctylfluorene). All the copolymers exhibit good thermal stability, high photoluminescent quantum yield and appropriate electrochemical energy levels. The copolymer PF-TD2PO1 which contains 1 mol% PO unit shows a maximum luminous efficiency (LEmax) of 3.07 cd A−1 and 5.18 cd A−1 based on single-layer and double-layer devices, respectively, with deep-blue Commission Internationale de L’E’clairage (CIE) coordinates of (0.15, 0.11). To improve the hole transport of the emissive layer, a hole transport molecule N-([1,1′-biphenyl]-4-yl)-9,9-dimethyl-N-(4-(9-phenyl-9H-carbazo-yl)-phenyl)-9H-fluorene-2-amine (BCFN) was blended into PF-TD2PO1. As a result, the best electroluminescence performance with a low turn-on voltage of 3.0 V, a superior LEmax of 6.20 cd A−1 (corresponding to a maximum external quantum efficiency of 6.22%), an unprecedented luminance of 44 685 cd m−2 and deep-blue CIE coordinates of (0.15, 0.11) were obtained from the blended PF-TD2PO1:BCFN light emitting device. It is particularly important that PF-TD2PO1:BCFN based devices exhibit very slow efficiency roll-off and a more than 14 times enhanced lifetime compared with the devices without BCFN. The results indicate the great potential of this class of copolymers for application in solution processed deep-blue light-emitting diodes with high efficiency and long lifetime.
各种相关货品:
| (4,8-双(5-(2-乙基己基)-4-氟噻吩基)苯并[1,2-b:4,5-b']二噻吩基)双(三甲医院基锡基) | 1514905-25-9 |
| PM135 | 2222146-84-9 |
| 4-癸基十五醇 | 1154738-85-8 |
| PAC(蓝光涂料) | 2506256-67-1 |
| FBT-BR2 | 1430201-57-2 |
| PFNDI | |
| FBT-TH4(1,4) | |
| 3-溴噻吩并[3,2-B]噻吩 | 25121-83-9 |
| MPAC | 931407-27-1 |
| PFN-BR | 889672-99-5 |
| 4,6-二溴-3-氟-2-(1-(2-乙基己酮))-噻吩并[3,4-B]噻吩 | 1352743-83-9 |
| 富勒烯 | 131159-39-2 |
| 1-溴-4-癸基第十六烷 | 1562171-25-8 |
| NDI-N-Br,S5215 | 1803568-30-0 |
网上购买登记表格:
1.对于字体颜色
商品因碳原子量不同于,商品相对性状和彩色就有优越性。
2.有关微信客服
如您的资讯还没尽快发信息,可能性是那时候资讯过大就是模式发动机故障。
温磬信息提示:仅限于科技zhn2021.08.13


pg电子娱乐游戏app
微信公众号
官方微信