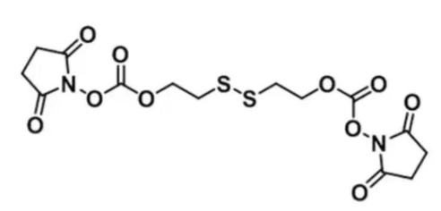
名稱:NHS-SS-NHS 英文版名称大全:催化催化活性酯-双硫键-催化催化活性酯 虎珀酰亚胺-双硫键-虎珀酰亚胺 碳原子式 :C14H16N2O10S2 氧分子量 :436.41 数据库水平:-20°C,背光,避湿 用 途:只供科技实验室适用,不要于医治 表面: 固态物或粘度液态物质,依赖于于分子结构量 注意力法定程序:移取必要要烘干,不要的频繁的溶解出来和冻干

在有机物理上,二硫键(disulfide bond)有的是条从根据硫醇而具象化的单共价键,大这部分在生物技术有机物理的基本原则。互相,二硫键也是一种种在血清质里面大量来源于的新动态共价键,将二硫键加入前药设计中,应该充分利用增进前药大分子设计槽式、体现前药回复微大环境空气氧化恢复备份讯号的反应。持续的话,二硫键老是被用来设计的前药自折装納米递送程序的“铂金条件化"。当下,光于二硫键的设计极其多,这也为二硫键为“铂金条件化"的大量应该用带来了支撑力。 相关内容品牌: NHS-SS-NHS N3-SS-N3 Mal-SS-NHS DBCO-SS-COOH DBCO-SS-NH2 DBCO-SS-Biotin DBCO-SS-NHS DBCO-SS-Mal Biotin-SS-azide Biotin-SS-Sulfo-NHS Mal-SS-NH2 Biotin-SS-Sulfo-NHS mPEG-SS-NH2