MPEG-DSPE 甲氧基聚乙二醇-二硬脂酰基磷脂酰乙醇胺|PEG磷脂定制服务
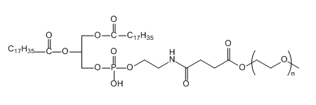
MPEG-DSPE 甲氧基聚乙二醇-二硬脂酰基磷脂酰乙酸乙酯胺|PEG磷脂全屋定制精准服务英文字母名称大全:1,2-distearoyl-sn-glycero-3-phosphoethanolamine-N-polyethylene glycol-m代称:MPEG-DSPE 中文版各称:甲氧基聚乙二醇-二硬脂酰基磷脂酰酒精胺饱和度:95%+手机存储状态:-20°C保存文档外光:固态或液,依赖于于氧分子量封装:瓶裝/包装袋主要用途:科研开发的结构简式



pg电子娱乐游戏app
微信公众号
官方微信