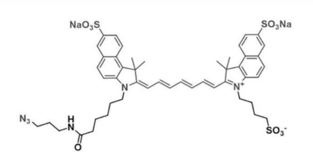
近红外diSulfo-ICG-N3/azide,磺酸化吲哚菁绿荧光修饰叠氮
DiSulfo-ICG-azide常见的生物体标注基团,作近红外荧光染色剂,ICG染色剂比CY款型的花菁染色剂渗透性更低,安全卫生性好些的光稳固性。CAS号:N/A 日语名:disulfo-ICG-azide,disulfo-ICG-N32英文名:二磺酸-吲哚菁绿-叠氮初中物理运作: CASNumber:N/A Molecular formula:C48H54N6Na2O10S3 Molecular weight:1017.15 Purity:95%+ Appearance:环保无水硫酸铜 Storage conditions:-20℃,阴冷,干燥的,空气流通较好的冷库 Packing specification:10mg、25mg、50mg(要求多样,中应的会参与沟通技巧) Solubility:溶解大一部分有机化学高沸点溶剂,溶解水 Customized:可订制



pg电子娱乐游戏app
微信公众号
官方微信