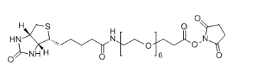
Biotin-PEG6-SPA 2055045-04-8 Biotin-PEG6-NHS 生物素-六聚乙二醇-琥珀酰亚胺酯
物品的信息:2英文名字大全:怪物素-六聚乙二醇-蜜腊酰亚胺酯用英语明称:Biotin-PEG6-SPACAS No.:2055045-04-8英文字母俗称:Biotin-PEG6-NHS成品溶解度:≥95%分子结构式:C29H48N4O12S状况:混合物或黏黏药液,决定于原子量宽度存储时长 一年端基被淘汰率:≥95%原子量(PEG):另外原子量或规格为可订制组成部分式:



pg电子娱乐游戏app
微信公众号
官方微信